WSAN’s add a new dimension to the traditional sensor network paradigm that has been of such interest in recent years. WSANs such as CSOnet are not content to simply monitor events. WSANs use sensor measurements to effect their external environment. Since such effects can again be measured by the sensors, this leads to a feedback interaction between the WSAN and the external world. In other words, WSANs can act as distributed controllers for geographically distributed processes. We often refer to such systems as Networked Control Systems or NCS [1].
The feedback nature of a WSAN means that its performance is not well represented by its ability to communicate accurate information about the environment. Instead, the WSAN’s performance is measured best by its ability to regulate that environment’s behavior. Are both measures the same? No. Feedback systems have an inherent robustness to modeling error. This is why feedback is used. We measure the difference between what we expected and what actually happened in the environment and we use that difference to adjust the overall system’s behavior. Feedback therefore reduces a system’s sensitivity to unpredicted variations in sensor measurements and process models. What this means is that the communication requirements for aWSAN may be significantly less demanding than those required for a traditional sensor network.
What has recently become apparent is that high quality sensor data may not be needed to assure an acceptable level of NCS peformance. This observation was first discussed by Brockett et al. [2] with regard to his network of servo systems. Since that time a number of researchers have established bounds on dropped messages [3], message delays [4], and quantization levels [5] [6] under which NCS can deliver acceptable levels of performance. These results indicate that the inherent requirements for NCS communication need not strive for the delivery of high-fidelity data. Instead, these results indicate that low-fidelity streams can be sufficient provided they respect the aforecited bounds on delay and dropout rate.
As noted above, CSOnet implements a control strategy that controls the amount of water diverted into the interceptor sewer from the combined sewer trunk line. Control actuation therefore occurs at the CSO diversion structure. This control action must maximize the total water diverted into the interceptor as this minimizes the total CSO discharge. This maximization, however, must be done subject to various safety constraints. First the flows in the interceptor line cannot exceed the capacity of the wastewater treatment plant. Second, the flows must not result in localized flooding or surcharge of the interceptor line.
Wan et al. cast this problem as an optimal control problem. To see how we might do this, we first note that the interceptor sewer can be abstracted to a straight line of N +1 interconnected nodes forming a graph as shown below
. 
We associate states with the links and nodes in above figure
graph. The state of the link leaving the ith node is the flow Qi
(gallons per minute). The state of the ith node along the line is
the head level (water level - feet) H_i for i = 1, . . . ,N. These
N nodes represent the manholes along the interceptor sewer.
The N +1st node in the system is the WWTP, where its head
level H_{N+1} is the ground level. Above each manhole node
is a CSO diversion node. The flow entering this node is the
external inflow wi, the input from the old sewer lines (sanitary
water, rainfall, etc). The two flows leaving each CSO diversion
node are Oi the overflow dumped into the river (overflow) and
ui the flow diverted into the ith manhole node from the ith
CSO diversion node. This diverted flow, ui, represents our
control variable.
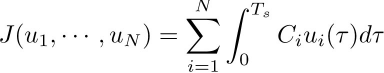
Our control problem seeks to minimize the total overflow from all CSO diversion nodes subject to state constraints on the nodes/links and a maximum flow limit for the entire network. Minimizing the total overflow is equal to maximizing the total diverted flow. Our problem therefore seeks to maximize

subject to

for i = 1, . . . ,N and t in [0, Ts) where Q_0(t) = 0 and H_{N+1}(t) = 0. Ci is a set of weighting coefficients (costs), and T_s is the horizon (storm duration) over which to maximize the diverted flow.
The first two constraint equations are abstracted from the equations characterizing open channel flows using the complete dynamic wave model [7]. In particular, the first one represents the conservation of mass. The second one represents the conservation of momentum relation assuming flow rates are relatively slow varying. The optimization is done subject to the control being admissible (3rd and 5th constraints) and state constraints in the fourth equation.
Wan et al. [8] showed that this problem could be solved using a switching control scheme. Moreover, it was shown that switching decisions could be made in a distributed manner over a multi-hop network similar to that used by CSOnet. The workings of this control law are rather easy to explain. When flooding is not an issue, the CSO diversion structure opens up the valve all the way. This is done first for those nodes with the highest cost and continues until the total diverted flow begins to approach the capacity limit Q. Once the total diverted flow reaches its limit, the remaining nodes with smaller costs restrict their diverted flows to avoid exceeding the total flow limit, Q. This type of ”all-or-nothing” strategy is a common feature of many optimal controllers.
If a node is flooding, this node’s objective changes from maximizing diverted flow to preventing flooding. In this case the feedback controller (equation is chosen to ensure that the current node’s head level stabilizes at the maximum head level Hij . The controller only needs feedback information from its immediate downstream node. This is an important feature of the controller for it means that it can be implemented in a distributed manner (i.e. feedback connections only take place between nearest neighbor nodes).
The algorithm was simulated on the real South Bend interceptor sewer line which consists of 36 CSO diversion structures. Three different storm scenarios were considered. Each storm drops rain nonuniformly over the city and moving from west to east over city at 20mph.